ID : 10955
ねじ軸径、リード、ナットの選定
リード(l)の選定
DCモータの最高回転数より

リード20mm以上の精密大リード品より選定を行う。
ねじ長さの仮選定

ねじ軸径の選定
高速送りであり、許容回転数のチェックにより軸径を選定する。軸受支持構造は最も一般的な固定-支持とする。
危険速度

ボールねじの回転数が、ねじ軸の持つ固有振動数と共振しないよう検討する必要がある。この危険速度の80%以下を許容回転数とする。

a : 安全係数 (a = 0.8)
E : 縦弾性係数 (E = 2.06 × 104 (4乗) kPa)
I : ねじ軸断面の最小2次モーメント

dr : ねじ軸谷径 (mm) <寸法表参照>
r : 材料の比重量 (r = 7.8 × 10-6 (-6乗) kg/mm3)
A : ねじ軸断面積 (A = πdr 2/4 mm2)
L : 取付間距離 (mm)
f ,λ : ボールねじの取付寸法により定まる係数
支持 - 支持 f = 9.7 (λ = π )
固定 - 支持 f = 15.1 (λ = 3.927 )
固定 - 固定 f = 21.9 (λ = 4.730 )
固定 - 自由 f = 3.4 (λ = 1.875 )
よって(a)式より、


dm・n 値
許容回転数は周速を表すdm・n 値(dm:鋼球の中心円径mm、n:回転数rpm)からも規制される。
一般には、

よって、


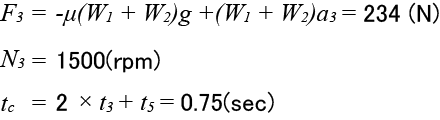
寿命予測
( 加速時(1) (4) )

( 定速時(2) (5) )

( 減速時(3) (6) )

平均荷重Fn 、平均回転数 Nn
軸方向荷重がいろいろ変動する場合、その変動する荷重条件における疲れ寿命と等しい寿命となるよう平均荷重を求め、寿命を計算すること。
荷重と回転数が段階的に分けられる場合
|
段階的な変動荷重
|
軸方向加重 (kgf) |
回転数 (rpm) |
使用時間または 使用時間割合 |
|---|---|---|---|
|
F 1 F 2 ٠ ٠ ٠ F n |
n 1 n 2 ٠ ٠ ٠ n n |
t 1 t 2 ٠ ٠ ٠ t n |
平均荷重 F m は次式により求められる。

なお、平均回転数は次式により求められる。

荷重がほぼ直線的に変化する場合
単調な変動荷重

平均荷重 F m は近似的に次式で求めることができる。

荷重が正弦曲線的に変化する場合
平均荷重 Fm は近似的に次式により求めることができる。


よって(c)、(d)式より、

寿命計算
疲れ寿命は、一般に総回転数で表すが、総回転時間、あるいは総走行距離で表すこともある。疲れ寿命は次式により求められる。

| 記号 | 意味 | 単位 |
|---|---|---|
| 定格疲れ寿命 | (rev) | |
| 寿命時間 | (hr) | |
| 走行距離寿命 | (km) | |
| 基本動定格荷重 | (N) | |
| 軸方向荷重 | (N) | |
| 回転数 | (rpm) | |
| リード | (mm) | |
| 荷重係数(運転条件による係数) | - |
| 衝撃のない円滑な運転のとき | 1.0 - 1.2 |
|---|---|
| 普通の運転のとき | 1.2 - 1.5 |
| 衝撃振動を伴う運転のとき | 1.5 - 3.0 |
ボールねじの選定にあたって、疲れ寿命をいたずらに長くとることは、それだけボールねじが大きくなり、経済的でない。参考として、疲れ寿命の一般的な目標値を示す。
| 項目 | 疲れ寿命(時間) |
|---|---|
| 工作機械 | 20,000 |
| 産業機械 | 10,000 |
| 自動制御装置 | 15,000 |
| 計測装置 | 15,000 |
よって (g), (h) 式より (T すきま Ca = 7056 kgf)

ID : 10955


