ID : 18207
滚珠丝杠的滑动阻力
以滚珠丝杠为例,对滑动阻力的计算方法进行说明。

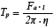
外部负荷产生的摩擦扭矩

- Tp: 外部负荷产生的摩擦扭矩(Nm)
-
Fa: 轴向加重(N)
Fa = F + mW
- F: 外部负荷(N)
- W: 工件重量 + 工作台重量(N)
- m: 振动面的摩擦系数(0.003 - 0.004)
- l: 导程(m)
-
η: 效率(0.9) ・・・滚珠丝杠
(1.0)…LM导架
预压产生的摩擦扭矩

- TD: 预压产生的摩擦扭矩(Nm)
- Fao: 预压负荷(Caの5% )(N)
- l: 导程(N)
- k: 预压螺母的内部摩擦系数(0.1 - 0.3)
- Ca: 基本额定负荷(N)
电机额定扭矩(TR)
请参照电机的目录。
评价

- TP: 外部负荷产生的摩擦扭矩(Nm)
- TD: 预压产生的摩擦扭矩(Nm)
- TR: 电机的额定扭矩(Nm)
- N1: 齿轮A的齿数
- N2: 齿轮B的齿数
其它
推荐使用磨削滚珠丝杠。旋转滚珠丝杠的晃动较大,有时不能正常动作。
ID : 18207

